|
Задача А22. Движение тел под действием силы тяжестиПример А22-1 (Из демоварианта 2012 года) Варианты ответа: 1) 10 м; 2) 5 м; 3) 5 х на квадратный корень из 3 м; 4) 10 х на квадратный корень из 2 м Прежде, чем браться за эту задачку, рассмотрим некоторые другие случаи, встречающиеся в задачах:
1. Свободное падение без начальной скорости Решение. Воспользуемся формулой
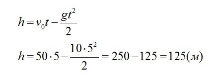
Подставляем числовые данные, получаем h = 10 x 16/2 = 80 метров, правильный ответ № 2. 2. Свободное падение тел с начальной скоростью Решение. В данном случае нам пригодится аналогичная формула, но в которой учитывается начальная скорость
3. Движение тела, брошенного вертикально вверх Решение. Вспомним само определение термина "ускорение". Это отношение изменения скорости к промежутку времени, за который произошло это изменение. И для данной задачки вместо просто "ускорения" подставим "ускорение свободного падения".
Отсюда легко выразить конечную скорость
А теперь сообразим, что в верхней точке полета стрелы конечная скорость станет равной нулю. А ещё сообразим, что движение стрелы вверх равнозамедленное, то есть ускорение свободного падения надо брать со знаком минус. Тогда
А теперь по формуле из примера 3 определим высоту, на которую стрела поднялась
В формуле - обратили внимание? - мы опять взяли знак минус, поскольку движение вверх является равнозамедленным.
Интересно отметить, что подъем вверх и опускание вниз происходило за одно и то же время. Ну, а в задаче просят ответить, какова общая продолжительность полета стрелы, она равна 10 секунд. 4. Движение тела, брошенного горизонтально. Решение. Полет мячика происходит одновременно в двух направлениях - горизонтально и вертикально.
Горизонтально мячик летит по инерции, то есть равномерно и прямолинейно с той самой начальной скоростью 12 м/с, с которой он был брошен (сопротивление воздуха в таких задачах не учитывается). Поэтому за 2 секунды он улетит в направлении оси Х на 12 х 2 = 24 метра. На таком расстоянии от здания он упадёт на землю. 5. Движение тела, брошенного под углом к горизонту Решение. Движение тела, брошенного под углом к горизонту, надо представить так. Начальная скорость, сообщенная при броске, раскладывается на 2 составляющих - одна вертикально вверх, другая - горизонтально.
Горизонтально тело летит равномерно, вертикально вверх - так же, как пущенная стрела. В зависимости от условия задачи приходится анализировать поведение обоих составляющих скорости.
Правильный ответ Вариант №2. <<< Назад I Вперед >>> |














